树和图的基本概念
介绍树和图的基本概念
图论是C++算法竞赛中很重要的一个算法,其中各种图论算法难度不小,所以往往是比赛重点,也是有必要掌握的部分。
接下来我将会介绍树和图的基本知识。
树和图的基本知识
树是一种特殊的图。想要了解树和图的概念,应当先了解图的基本信息。
为了辅助理解,在介绍前强烈推荐一个常用生成图网站——Graph Editor。他的输入是大部分图论题输入数据的输入方式——一条边表示为a b(两个端点)。
示例:

图的概念
图论中的图,可以理解为点与边的集合。
点是图论中最基本的单位,可能有点权,但这不影响任何图上算法。
边,在图论中用于连接两个点,当边权对应这条边的长度时,会直接对图上的搜索和其他算法产生影响。
度则是涉及点和边的一个概念——一个点的度数就是与该点相连的边的个数。
重边指的是两条边连接了同样的两点,图论的不少算法要对存在的重边在输入时就进行预处理(如在SPFA算法计算单源最短路时,重边需要通过取最小值简化为一条边避免错误)。
图上的环指的是几个点连接成一个环,可以通过一定的路径从自己走回自己。
自环则指的是只经过一条边的环,即自己只需要走一步就能走回自己,一条边的两端是同一个点。
简单图是一种特殊的图,没有重边、自环。假设其有$n$个点,易得边的数量最多$n(n - 1) / 2$条。
连通图是另一种图,图上的任意两点间都存在路径,相当于是一个大的连通分量。
树的概念
通用概念
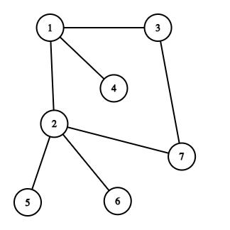
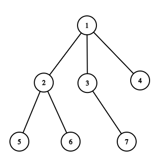
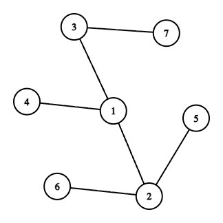
树,作为一种特殊的图,还有一些性质。让我们先通过三张图区分什么是树,什么是普通的图。

这不是树,因为比如以1为根节点,2和7的最近公共祖先是1(在他们的上面)但他们有连边。
所以,总结得出树是有$n$个点的无环连通图。多个树组成森林。
树的根节点没有父亲节点。树的叶子结点没有儿子节点。
所以,树除了根节点的每一个点都和其父亲有且仅有一条边,因为总共除了根节点有$n - 1$个点,那么就有$n - 1$条边。
每个节点的度就是与这个点存在直连边的子节点数量。
所有点的度数都$\le2$的树就是二叉树。同理,$\le k$的树就是$k$叉树。
两个点的最近公共祖先(LCA)就是两个点最近的公共祖先节点(父节点的父节点的父节点…)。
二叉树概念
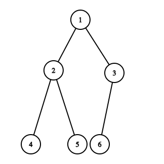
在树中,我们重点研究二叉树。
满二叉树是指除了叶子结点,每个节点都度数都为$2$,顺次编号,一般根节点编号为$1$,左儿子就是$2$、右儿子是$3$。
完全二叉树是指指深度为$k$、有$n$个结点的二叉树,结点编号连续,其结点编号与相同深度的满二叉树对应位置一致。满二叉树是一种特殊的完全二叉树。
由上图得到满二叉树的规律:
对于结点$i$,
其左节点为$2i$,
右节点为$2i + 1$。



